Autor Wątek: 11.11. 2018 - 4 pory roku - JESIEŃ. Zawody 3GUN  (Przeczytany 8008 razy)

0 użytkowników i 1 Gość przegląda ten wątek.

Darek65

  • Administrator
  • Wiadomości: 1710
Odp: 11.11. 2018 - 4 pory roku - JESIEŃ. Zawody 3GUN
« Odpowiedź #15 dnia: 08 Listopada 2018, 22:02:04 »
Zostało ostatnie miejsce, kto niezdecydowany, niech się szybko decyduje :)
Ktoś kto robi więcej od Ciebie nie będzie Cię krytykował, najwięcej krytykuje ten który nie robi nic.

fnmilo

  • Sędziowie
  • *
  • Wiadomości: 797
Odp: 11.11. 2018 - 4 pory roku - JESIEŃ. Zawody 3GUN
« Odpowiedź #16 dnia: 10 Listopada 2018, 12:43:57 »
Będzie możliwość  zapisania się na zawody na strzelnicy.
Płatność kartą  125zł.
zaczynam :) przygodę

Tcheslav

  • Wiadomości: 14
Odp: 11.11. 2018 - 4 pory roku - JESIEŃ. Zawody 3GUN
« Odpowiedź #17 dnia: 10 Listopada 2018, 14:11:35 »
Czy strzelba tylko pompka czy moze byc automat?

Artur

  • _
  • *
  • Wiadomości: 392
    • WWW
Odp: 11.11. 2018 - 4 pory roku - JESIEŃ. Zawody 3GUN
« Odpowiedź #18 dnia: 10 Listopada 2018, 16:48:39 »
Klasyfikacja standard oraz open. Sprzęt dowolny.
Strzelam dobrze,tylko nie trafiam :)

fnmilo

  • Sędziowie
  • *
  • Wiadomości: 797
Odp: 11.11. 2018 - 4 pory roku - JESIEŃ. Zawody 3GUN
« Odpowiedź #19 dnia: 12 Listopada 2018, 12:51:29 »
I kolejny dzień, mam zakwasy :).
W zawodach wzięło udział  55 zawodników na trzech torach.
Jeden był mocno zmechanizowany i wymagał sprytu od zawodnika.
Żelaźniak wymagał z koleji szybkiego przystosowania się do obcej broni i różnych  celowników. Podziękowania dla Departamentu Uzbojenia  za CSV-9MM naprawdę fajne zabawki.
Na 100m trzeba było popisać się sokolim wzrokiem i opanowaniem. Po części z karabinem i pokonaniu około 70m
popery niby blisko ale sprawiały wiele problemów.
Podziękowania dla ustawiaczy i sędziów. Kamila z synem, Piotrka, Joanny z Andrzejem , Pawłom , Mariannie i Krzyśkowi.
I wielu innym.
zaczynam :) przygodę

TomaszM

  • Wiadomości: 36
Odp: 11.11. 2018 - 4 pory roku - JESIEŃ. Zawody 3GUN
« Odpowiedź #20 dnia: 12 Listopada 2018, 22:07:08 »
To ja zadam tradycyjne już pytanie: kiedy komunikat (szczególnie ten z klasyfikacją generalną z całego roku) pojawi się na stronie? ;D

Wielkie dzięki za wczorajsze zawody i za poprzednie trzy edycje. Oby przyszłoroczna odsłona była równie ciekawa :)

fnmilo

  • Sędziowie
  • *
  • Wiadomości: 797
Odp: 11.11. 2018 - 4 pory roku - JESIEŃ. Zawody 3GUN
« Odpowiedź #21 dnia: 13 Listopada 2018, 09:01:26 »
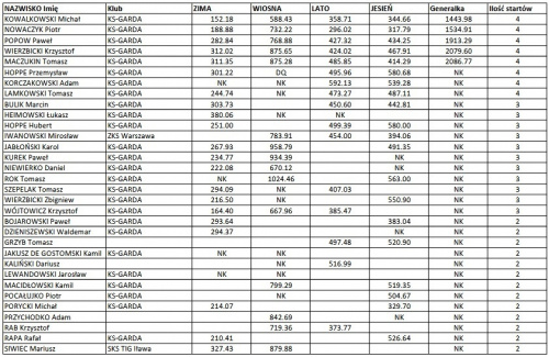
Ależ proszę zestawienie z całego roku 2018.





zaczynam :) przygodę

redav

  • Wiadomości: 147
Odp: 11.11. 2018 - 4 pory roku - JESIEŃ. Zawody 3GUN
« Odpowiedź #22 dnia: 15 Listopada 2018, 12:34:33 »
A kiedy wyniki za ostatnie zawody będa?

fnmilo

  • Sędziowie
  • *
  • Wiadomości: 797
Odp: 11.11. 2018 - 4 pory roku - JESIEŃ. Zawody 3GUN
« Odpowiedź #23 dnia: 15 Listopada 2018, 21:02:39 »
Na zawodach odpowiedziałem :) 5 - 7 dni czyli tydzień.
zaczynam :) przygodę

fnmilo

  • Sędziowie
  • *
  • Wiadomości: 797
Odp: 11.11. 2018 - 4 pory roku - JESIEŃ. Zawody 3GUN
« Odpowiedź #24 dnia: 19 Listopada 2018, 20:15:18 »
Wyniki mam jutro opublikujemy komunikat.
zaczynam :) przygodę

Artur

  • _
  • *
  • Wiadomości: 392
    • WWW
Odp: 11.11. 2018 - 4 pory roku - JESIEŃ. Zawody 3GUN
« Odpowiedź #25 dnia: 21 Listopada 2018, 06:55:16 »
Jutro było wczoraj  ;)
Strzelam dobrze,tylko nie trafiam :)

fnmilo

  • Sędziowie
  • *
  • Wiadomości: 797
Odp: 11.11. 2018 - 4 pory roku - JESIEŃ. Zawody 3GUN
« Odpowiedź #26 dnia: 21 Listopada 2018, 10:03:07 »
Arturze  :o normalnie się czepiasz. Ale masz prawo. W załączniku tabele do komunikatu.
« Ostatnia zmiana: 21 Listopada 2018, 11:32:33 wysłana przez Darek65 »
zaczynam :) przygodę